忍者ブログ
どんなもしもが 君の未来に わりこんでも かまわないさ 僕はずっと 味方さ
[12] [13] [14] [15] [16] [17] [18]
×

[PR]上記の広告は3ヶ月以上新規記事投稿のないブログに表示されています。新しい記事を書く事で広告が消えます。

前回の続きです。
(まだ読まれていない方はこちら
 
「入試はギャンブルではありません」
そう保護者に伝えています。
今回は、その理由についての話です。
 
入試と一口に言っても、入試の形態が多様化してきていますので、
ここでは、説明を簡単にするために、一般入試について話をしますね。
 
 
▼確実に合格するには?
 
入試にはボーダーラインがあります。
ここでいうボーダーラインとは、合否を分ける「合格者の最低得点」のことです。
これは、ネットや書籍で誰にでも簡単に調べられます。
(学校によっては、公表されていない場合があります)
 
多くの人が「偏差値」を気にしますが、
合否を分けるのは「偏差値」ではありません。
「入試得点」です。
ですから「合格者の最低得点」がボーダーラインとして使えます。
 
(偏差値は、ある程度の目安以外にはなりますが、
厳密なボーダーラインを知るためには大して使えません)
 
要は、入試のボーダーラインを越えれば、必ず合格します。
 
何を当たり前のことを、と思われるかもしれませんが、本当にそれだけです。
自分より「偏差値」の低い人が合格して、自分は不合格ということはあっても、
自分より「入試点数」の低い人が合格したのに、
自分が合格しないなんてことはないでしょう?
 
ですから、当たり前のことなのですが、
受験する年の合格者の入試最低得点を越えれば、確実に合格します。
 
ただし、ボーダーラインは毎年上下します。
一般的に、人気が上がり、倍率が上がれば、ボーダーラインは上がります。
逆に、倍率が下がれば、ボーダーラインが下がることがあります。
(変わらないこともありますので、要注意!)
 
そのため、今までの合格者の入試最低得点は、参考にはなるけれど、
それを越えたからといって、確実に合格するとは限りません。
 
ではどうすればいいのでしょう?
次回に続きます。
PR
「入試はギャンブルではありません」
保護者面談でよく使う言葉です。
 
高校受験を目的に、子どもを塾に通わせている家庭の中には、
「うちは、私立に通わせる余裕はありません。
絶対に公立高校に通わせたいのですが、どこなら確実に入れますか?」
ということがよくあります。
 
「余裕がない」とはどのくらいなのかは、家庭内のことなので詮索しませんが、
その程度は、大きく2つに分かれます。
 
一つは、
「公立高校に通わせたいけれど、子どもが頑張っているし、
合格できるかわからないけれど、チャレンジさせたい。
頑張ったけれど届かずに私立に通うとなった場合も、
余裕はないけれど仕方がない」というケース。
 
もう一つは、
「本当に私立に通わせられないのです」というケース。
後者は、母子家庭などによくあるケースです。
 
親はもちろん、子どもにうまくいってほしいと望んでいます。
多くの親が、「本人が行きたい学校に行かせたい」と言います。
しかし同時に、現実も直視しなければなりません。
そこでどうしていいのかわからないからこそ、塾に相談に来るのです。
 
だから、私はその思いを真っ直ぐ受け止め、こう答えるのです。
「入試はギャンブルではありません」
 
その理由は、…。
次回に続きます。
1月29日の記事で「意志のツヨサ」について書いた。
(まだ読まれていない方はこちら

意志のツヨサだけでは「無謀」と思われてしまうかもしれない。
確かにそうだ。
意志のチカラは偉大だけれど、それだけでは上手くいかない。
だから実際には、意志を聞いた上で、学習プランを立てる。
 
大まかに言うと、次のような手順で学習プランを立てる。
① 目標と現状を明確にして、その「ギャップ」=「これから積み重ねるべき学習成果」を確認する
② ギャップを埋めるために必要な科目ごとの「やるべきことリスト」(To Do List)を作成する
③ ②で出したやるべきことを余裕を持たせながら予定表に組み込む
 
こうして学習プランを立てた上で、もう一度意志を確認する。
すると中には、
「こんなに勉強しないといけないの!こんなにできないよ!」
というような反応が返ってくる。
 
それでも、物理的に無理ではなく、
それをやりとげれば合格する確率が極めて高くなることを伝えると、
ある時は、
「大変そうだけれど、どうしてもいきたいから頑張る!」
という反応が返ってくる。
こういう子は、意志が強いからやりとげられる可能性が高い。
また、このプロセスで、意志を強めることにもなる。
 
逆に、
「こんなにやらなければいけないんだったら、志望校を下げる!」
という反応が返ってくることもある。
それならそれでいい。
(勉強に対する)意志のチカラが足りなかったのだ。
それは、人それぞれの価値観にも関わってくることだから、
周りが強制することではない。
 
 
学習プランを立て、目の前の道のりを明確にした時、意志の強さが問われる。
山登りに例えると、
「富士山に登りたい!」と思い、ふもとについてから山頂を見上げた時、
意志の強さが問われる。
「やっぱり大変そうだから止める」というのと、
「よし、これを登り切ったら、素晴らしい達成感を味わえそうだ!」
と気合を入れるのとでは、
行動力に大きな違いが生まれる。
 
「どうしても行きたい!」という強い意志があれば、
どんなに遠くにある目標に向かってだって、一歩を踏み出せる。
 
Where there is a will, there is a way!”
(意志あるところに道はある)
同じカリキュラムで同じように教えても、成長度は違ってくる
それを「頭の良し悪し」だと一般的には言われるが、
子どもたちを見ている限り、そうとは言い切れないと思う。
 
その理由パート2。
 
なぜなら、今までの「学習到達度」が違ったら、
これから新しいことを学ぶのに必要なエネルギーは、人それぞれ違ってくるから。
 
「学習到達度」を山登りにたとえてみるとわかりやすい。
山登りでは、ふもとから頂上までを10の区間に分け、
その節目を1合目から始まり、10合目で頂上にたどり着くようになっている。
例えば、現在、Aさんは6合目にいる。
一方、Bくんは5合目にいる。
今から歩いて7合目まで到達したい。
7合目まで到達するまでに必要なエネルギーはどちらが多いだろう?
 
答えは当然、Bくんだ。
Aさんは1合分登ればいいのに対して、
Bくんは2合分も登る必要がある。
しかも、学校や集団塾のような一斉授業では、
先生は、6合目から7合目までの登り方を教えるのだ。
Bくんは、5合目から6合目までを自力で登らなければならない。
 
上の数字を学年に変えると、実際によくあるケースになる。
5合目を小学5年生までの到達度、6合目を小学6年生までの到達度、
7合目を小学7年生はないので、中学1年生までの到達度とする。
 
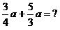
例えば、小学5年で習う「分数の足し算」をできていない(学習到達していない)
中学1年生のBくんが、中学1年生の授業で、
「分数の足し算」の入った「文字式」の計算をとけるであろうか?
答えは、「否」である。

mikata00601.jpg

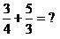
この分数の計算ができないのに
mikata00602.jpg

この問題はさすがに解けない。
 
しかし、整数の文字式の計算は、教えればすぐに理解できるようになる。
mikata00603.jpg!と。
なぜなら、
mikata00604.jpgを理解していて、
「同じ文字の係数は足せる」という法則さえ理解すればいいから。
要するに、中学生の内容がわからないのではなく、
小学生の内容をきちんと習得していないだけなのです。
(最近、小中学校の連携が進みはじめたのも、ここに要因の一つがあるようです)
 
分数の計算ができない中学生に、分数の文字式の計算をいきなり教えるのは、
階段を10段飛ばしで飛べといっているようなものだ。
それでは、なかなか上れない。
しかし、一つひとつステップを踏んでいけば、10段上に行くことはできる。
分数を理解して、整数の文字式の計算を理解してから取り組めば、
分数の文字式の計算だって解けるようになる。
 
これは、決して「頭の良し悪し」ではない。
それまでの「学習到達度の差」だ。
2月です!
今月は、受験の月!
中学受験、高校受験、大学受験とも、ピークを迎えます!
 
入試結果は必ず出ます。
世の中には、合格する人もいれば、不合格の人も必ずいます。
それが現実です。
 
同時に、入試結果は一つの通過点でしかありません。
これで人生のすべてが決まるわけではありません。
それも現実です。
 
受験を通して、何を学んだか。
自分はどんな成長を遂げられたか。
それが大事なことです。
 
入試結果は、新たなスタート!
第一志望に合格して、その後の生活がつまらないという人もいれば、
受験には残念ながら失敗したけれど、
その後の生活は楽しく充実しているという人もいます。
得られた次のフィールドで、自分が何をするのかが、結果以上に大事なことです。
 
毎年、学習塾で受験生に伝えている言葉を最後に贈ります。
「失敗することを恐れるよりも、真剣でないことを恐れたい」
――― 松下幸之助


忍者ブログ [PR]
奇跡の軌跡
★☆ 巡り合えた奇跡の軌跡 ☆★
プロフィール
HN:
K
性別:
男性
職業:
プロ家庭教師×学習コーチ
趣味:
マラソン
ブログ内検索
Jog Note
カレンダー
12 2026/01 02
S M T W T F S
1 2 3
4 5 6 7 8 9 10
11 12 13 14 15 16 17
18 19 20 21 22 23 24
25 26 27 28 29 30 31
お天気情報
バーコード
広告